اسئلة اختبار نهائي ريض 106 حساب التكامل الفصل الاول 1434هـ

  • 2020-09-02

توصيف

اسئلة اختبار نهائي ريض 106 حساب التكامل الفصل الأول 1434هـ جامعة الملك سعود 

المرفقات

Final.Exam_18_Dec2012-page-001.jpg

jpg


Final.Exam_18_Dec2012-page-002.jpg

jpg


Final.Exam_18_Dec2012-page-003.jpg

jpg


Final.Exam_18_Dec2012-page-004.jpg

jpg


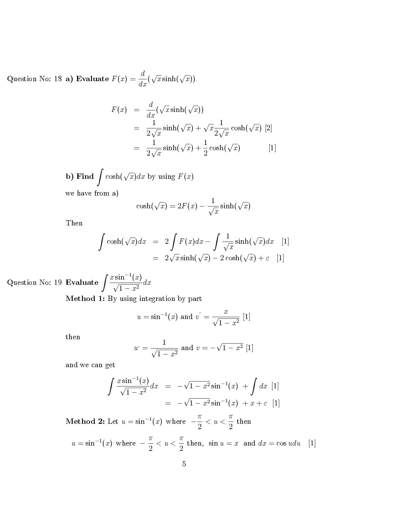
Final.Exam_18_Dec2012-page-005.jpg

jpg


Final.Exam_18_Dec2012-page-006.jpg

jpg


Final.Exam_18_Dec2012-page-007.jpg

jpg


هل كان المحتوى مفيد؟

التعليقات

لاضافة سؤال أو تعليق على المشاركة يتوجب عليك تسجيل الدخول
تسجيل الدخول
محتاج مساعدة باختيار المدرس الافضل؟ تواصل مع فريقنا الان لمساعدتك بتأمين افضل مدرس
ماهو التخصص الذي تبحث عنه؟
اكتب هنا...