اسئلة اختبار نهائي ريض 106 حساب التكامل الفصل الثاني 1433هـ

  • 2020-10-08

توصيف

اسئلة اختبار  نهائي ريض 106 حساب التكامل الفصل الثاني 1433هـ جامعة الملك سعود

المرفقات

106-final-s2-3233-page-001.jpg

jpg


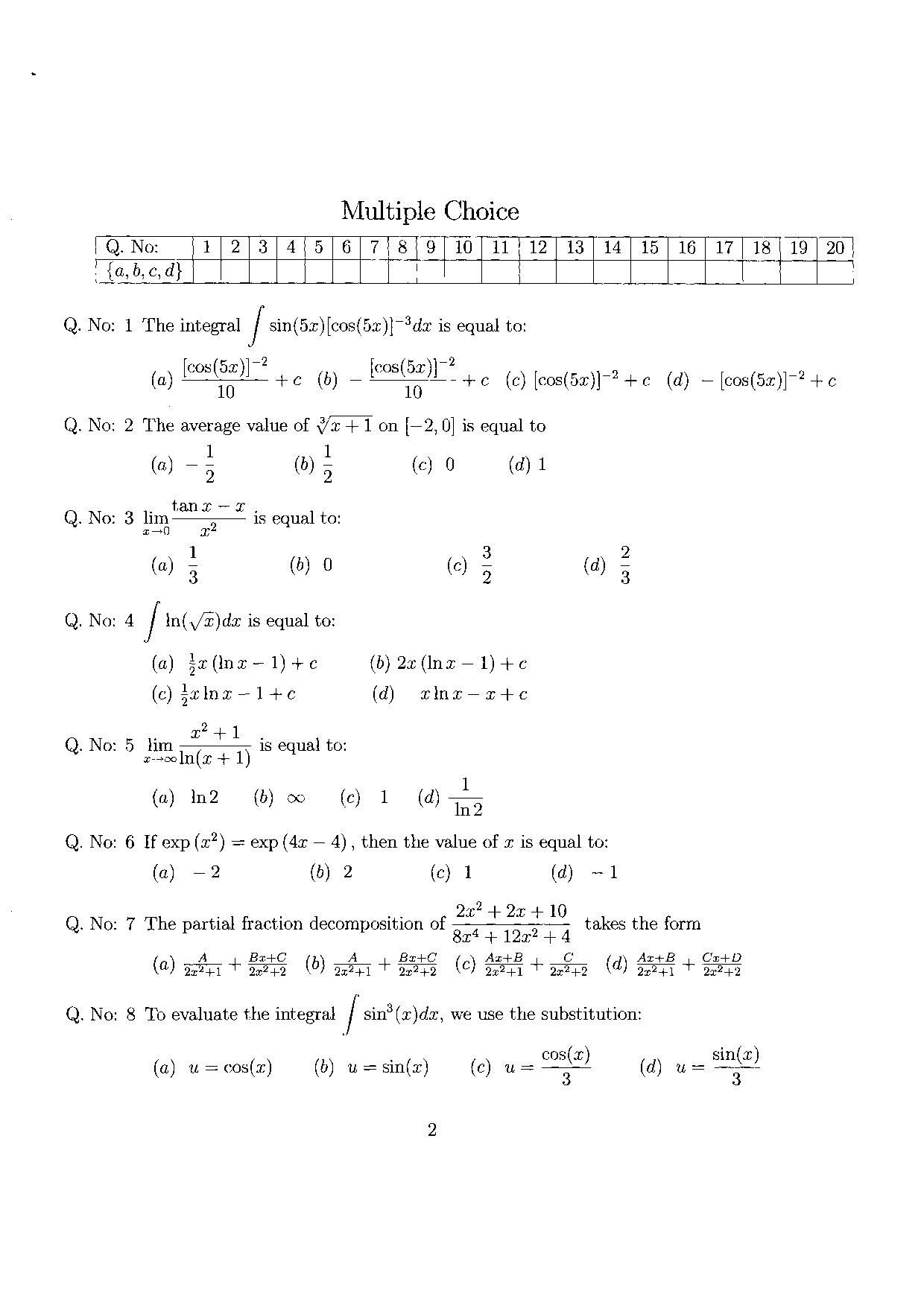
106-final-s2-3233-page-002.jpg

jpg


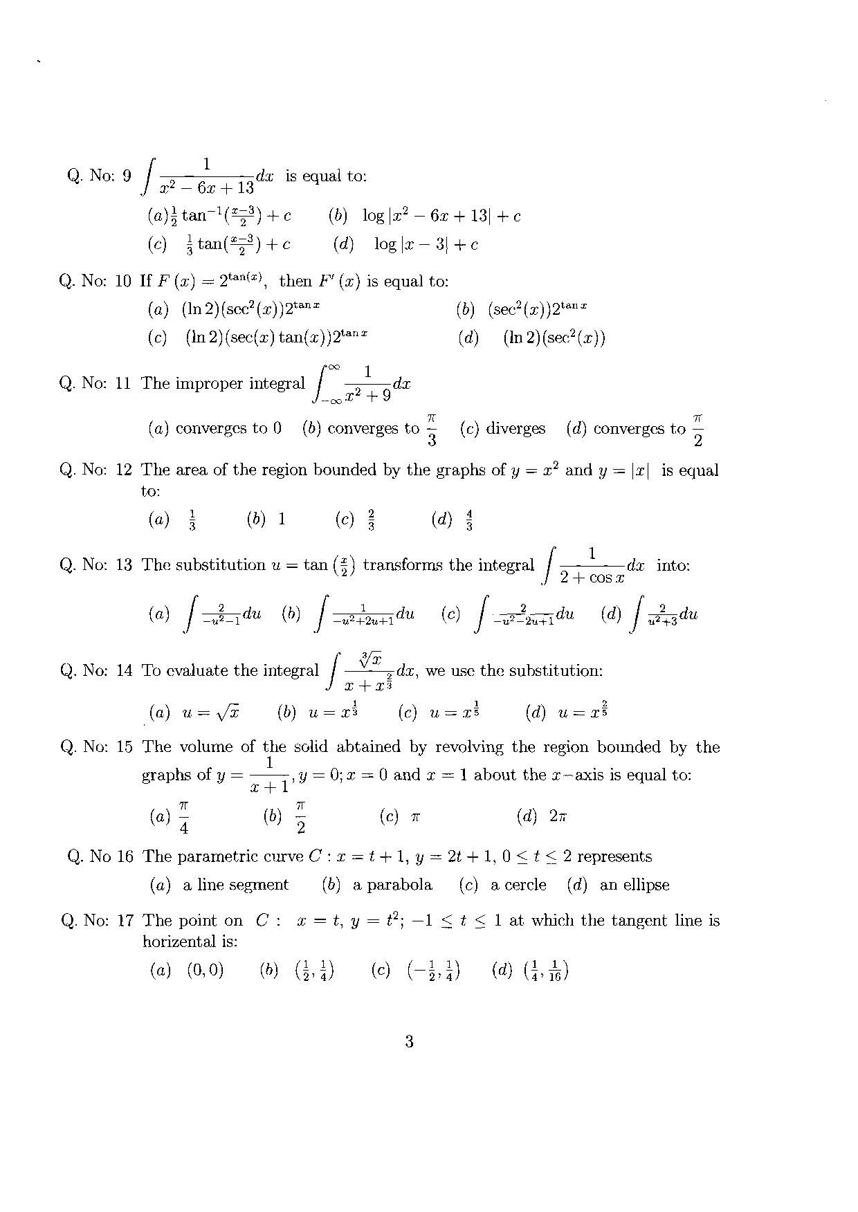
106-final-s2-3233-page-003.jpg

jpg


106-final-s2-3233-page-004.jpg

jpg


106-final-s2-3233-page-005.jpg

jpg


106-final-s2-3233-page-006.jpg

jpg


106-final-s2-3233-page-007.jpg

jpg


هل كان المحتوى مفيد؟

التعليقات

لاضافة سؤال أو تعليق على المشاركة يتوجب عليك تسجيل الدخول
تسجيل الدخول
محتاج مساعدة باختيار المدرس الافضل؟ تواصل مع فريقنا الان لمساعدتك بتأمين افضل مدرس
ماهو التخصص الذي تبحث عنه؟
اكتب هنا...