لاضافة سؤال أو تعليق على المشاركة يتوجب عليك تسجيل الدخول تسجيل الدخول
إضافة السبب
اختر قائمة
لم يتم إضافة هذه الملف التعليمي إلى أي قائمة دراسية خاصة بك
الاشتراك المجاني
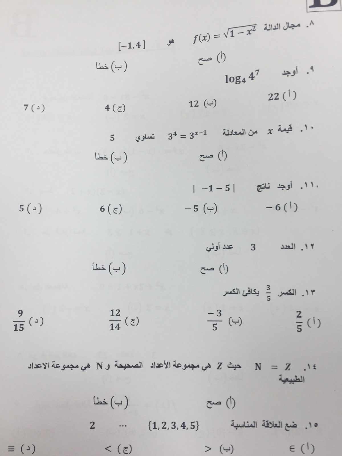
اختبار مبادئ الرياضيات الفصل الأول 1437هـ نموذج B
المدرس:
ادم
هل ترغب في الحصول على هذه المادة المجانية؟
لم تقم بتسجيل الدخول
إتمام عملية السداد تستلزم تسجيل الدخول لنستطيع ضمان حقوقك الكاملة مع المدرس, فضلا تسجيل الدخول ومن ثم العودة لهذه الصفحة مرة أخرى لتستطيع إتمام عملية السداد
لم تقم بتسجيل الدخول
لحفظ المادة الدراسة ضمن مفضلتك تحتاج لتسجيل الدخول
تأكيد ألغاء الاشتراك
محتاج مساعدة باختيار المدرس الافضل؟ تواصل مع فريقنا الان لمساعدتك بتأمين افضل مدرس