الاختبار النهائي مبادئ الرياضيات الإدارية للعام 1436 - 1437

  • 2021-01-25

توصيف

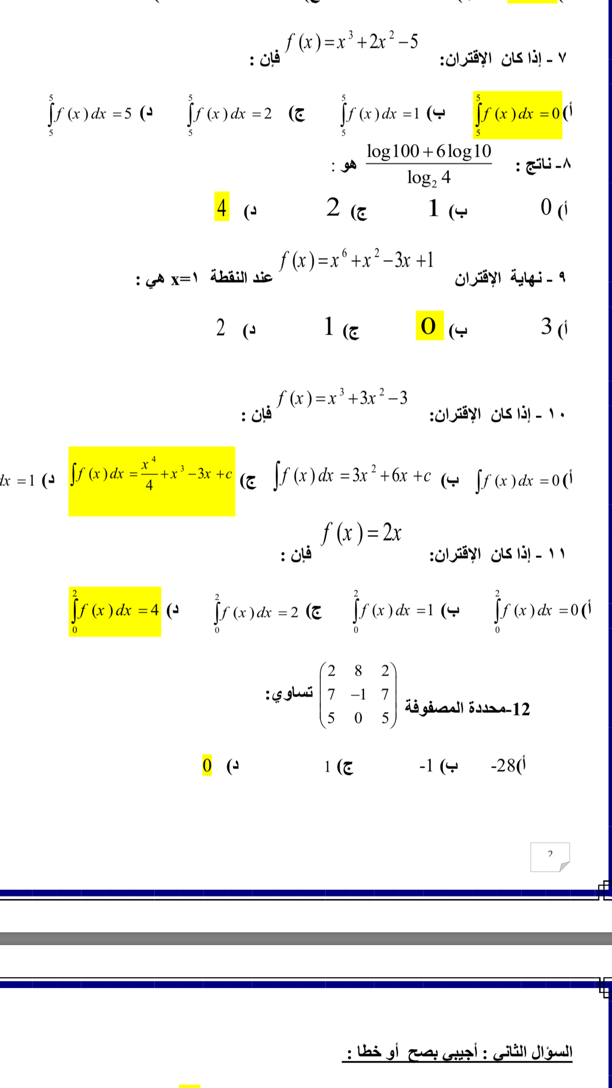
حل مراجعة للاختبار النهائي

مبادئ الرياضيات الإدارية

الفصل الدراسي الثاني 1436-1437

 

المرفقات

IMG_9468.PNG

png


IMG_9469.PNG

png


IMG_9470.PNG

png


IMG_9471.PNG

png


IMG_9472.PNG

png


IMG_9473.PNG

png


هل كان المحتوى مفيد؟

التعليقات

لاضافة سؤال أو تعليق على المشاركة يتوجب عليك تسجيل الدخول
تسجيل الدخول
محتاج مساعدة باختيار المدرس الافضل؟ تواصل مع فريقنا الان لمساعدتك بتأمين افضل مدرس
ماهو التخصص الذي تبحث عنه؟
اكتب هنا...