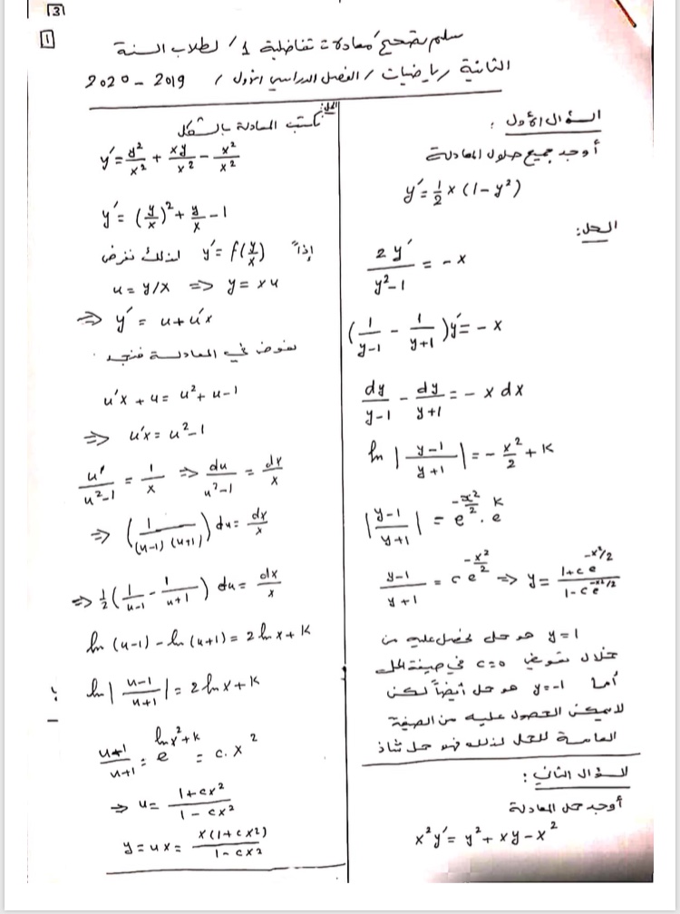
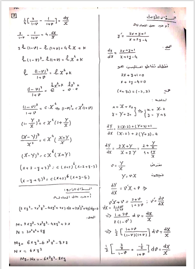
سلم تصحيح اسئلة اختبار في مادة معادلات تفاضلية1 للسنة2 فصل1 عام2019-2020جامعة ادلب رياضيات

  • 2022-04-07

توصيف

سلم تصحيح اسئلة اختبار في مادة معادلات تفاضلية1 للسنة2 فصل1 عام2019-2020جامعة ادلب كلية العلوم قسم رياضيات

المرفقات

4D33616F-AA57-49C1-B550-A7BC20A9F3E6.jpeg

jpeg


6FDDF62D-FDD3-4D8F-A2ED-AB50B3CC4344.jpeg

jpeg


F065AA30-A46D-47B2-86BC-B4872FFA1E34.jpeg

jpeg


هل كان المحتوى مفيد؟

التعليقات

لاضافة سؤال أو تعليق على المشاركة يتوجب عليك تسجيل الدخول
تسجيل الدخول
محتاج مساعدة باختيار المدرس الافضل؟ تواصل مع فريقنا الان لمساعدتك بتأمين افضل مدرس
ماهو التخصص الذي تبحث عنه؟
اكتب هنا...